Week 2: Software Design Patterns and Object-Oriented Programming

DSAN 5500: Data Structures, Objects, and Algorithms in Python

Class Sessions
Author
Affiliation

Jeff Jacobs

Published

Thursday, January 16, 2025

Open slides in new window →

Quick Recap

Parallel Programming → Functional Programming → This Week Last Week →

Hammers vs. Structures Built w/Hammers

  • How I see the course title:
    • Data Structures!
    • Objects!, and
    • Algorithms! (in Python)
  • How my opps see the course title: (Data Structures, Objects, and Algorithms) in Python!

Primitive Types in General

  • Variable types for which [language] knows in advance exactly how much memory is going to be required
  • Booleans (True or False): Exactly 1 bit (0 or 1)
  • int: 32 or 64 bits (depending on OS)
  • None / null / NA: Since we want it to serve as a “blank” value (easily cast to other primitive types), usually the same number of bits as int
    • Hence, in C for example, null is actually just shorthand for an int with value 0

Primitive Types: Python Weirdness Edition

  • Boolean (True or False): Exactly 1 bit (0 or 1)

    import sys
    sys.getsizeof(True)
    28
  • int: 32 or 64 bits (depending on OS)

    sys.maxsize
    9223372036854775807
  • None

    sys.getsizeof(None)
    16

  • Why is this happening?

Stack and Heap in C / Java

my_beautiful_app.c
time_t current_time = time(NULL);
int num_rows = 13;
bool filled = true;
bool empty = false;
int num_cols = 2;
char username[] = "Jeff";
int i = 0;
int j = None;
void z = NULL;

Stack and Heap in Python

my_beautiful_app.py
import datetime
cur_date = datetime.datetime.now()
num_rows = 13
filled = True
empty = False
num_cols = 2
username = "Jeff"
i = 0
j = None
z = 314

Data Structures: Motivation

Why Does The NYC Subway Have Express Lines?

Why Stop At Two Levels?

From Skip List Data Structure Explained, Sumit’s Diary blog

How TF Does Google Maps Work?

  • A (mostly) full-on answer: soon to come! Data structures for spatial data
  • A step in that direction: Quadtrees! (Fractal DC)

Jim Kang’s Quadtree Visualizations

Algorithmic Complexity: Motivation

The Secretly Exciting World of Matrix Multiplication

  • Fun Fact 1: Most of modern Machine Learning is, at the processor level, just a bunch of matrix operations
  • Fun Fact 2: The way we’ve all learned how to multiply matrices requires \(O(N^3)\) operations, for two \(N \times N\) matrices \(A\) and \(B\)
  • Fun Fact 3: \(\underbrace{x^2 - y^2}_{\mathclap{\times\text{ twice, }\pm\text{ once}}} = \underbrace{(x+y)(x-y)}_{\times\text{once, }\pm\text{ twice}}\)
  • Fun Fact 4: These are not very fun facts at all

Why Is Jeff Rambling About Matrix Math From 300 Years Ago?

  • The way we all learned it in school (for \(N = 2\)):

\[ AB = \begin{bmatrix} a_{11} & a_{12} \\ a_{21} & a_{22} \end{bmatrix} \begin{bmatrix} b_{11} & b_{12} \\ b_{21} & b_{22} \end{bmatrix} = \begin{bmatrix} a_{11}b_{11} + a_{12}b_{21} & a_{11}b_{12} + a_{12}b_{22} \\ a_{21}b_{11} + a_{22}b_{21} & a_{21}b_{12} + a_{22}b_{22} \end{bmatrix} \]

  • 12 operations: 8 multiplications, 4 additions \(\implies O(N^3) = O(2^3) = O(8)\)
  • Are we trapped? Like… what is there to do besides performing these \(N^3\) operations, if we want to multiply two \(N \times N\) matrices? Why are we about to move onto yet another slide about this?

Block-Partitioning Matrices

  • Now let’s consider big matrices, whose dimensions are a power of 2 (for ease of illustration): \(A\) and \(B\) are now \(N \times N = 2^n \times 2^n\) matrices
  • We can “decompose” the matrix product \(AB\) as:

\[ AB = \begin{bmatrix} A_{11} & A_{12} \\ A_{21} & A_{22} \end{bmatrix} \begin{bmatrix} B_{11} & B_{12} \\ B_{21} & B_{22} \end{bmatrix} = \begin{bmatrix} A_{11}B_{11} + A_{12}B_{21} & A_{11}B_{12} + A_{12}B_{22} \\ A_{21}B_{11} + A_{22}B_{21} & A_{21}B_{12} + A_{22}B_{22} \end{bmatrix} \]

  • Which gives us a recurrence relation representing the total number of computations required for this big-matrix multiplication: \(T(N) = \underbrace{8T(N/2)}_{\text{Multiplications}} + \underbrace{\Theta(1)}_{\text{Additions}}\)
  • It turns out that (using a method we’ll learn in Week 3), given this recurrence relation and our base case from the previous slide, this divide-and-conquer approach via block-partitioning doesn’t help us: we still get \(T(n) = O(n^3)\)
  • So why is Jeff still torturing us with this example?

Time For Some 🪄MATRIX MAGIC!🪄

  • If we define

\[ \begin{align*} m_1 &= (a_{11}+a_{22})(b_{11}+b_{22}) \\ m_2 &= (a_{21}+a_{22})b_{11} \\ m_3 &= a_{11}(b_{12}-b_{22}) \\ m_4 &= a_{22}(b_{21}-b_{11}) \\ m_5 &= (a_{11}+a_{12})b_{22} \\ m_6 &= (a_{21}-a_{11})(b_{11}+b_{12}) \\ m_7 &= (a_{12}-a_{22})(b_{21}+b_{22}) \end{align*} \]

  • Then we can combine these seven scalar products to obtain our matrix product:

\[ AB = \begin{bmatrix} m_1 + m_4 - m_5 + m_7 & m_3 + m_5 \\ m_2 + m_4 & m_1 - m_2 + m_3 + m_6 \end{bmatrix} \]

  • Total operations: 7 multiplications, 18 additions

Block-Partitioned Matrix Magic

  • Using the previous slide as our base case and applying this same method to the block-paritioned big matrices, we get the same result, but where the four entries in \(AB\) here are now matrices rather than scalars:

\[ AB = \begin{bmatrix} M_1 + M_4 - M_5 + M_7 & M_3 + M_5 \\ M_2 + M_4 & M_1 - M_2 + M_3 + M_6 \end{bmatrix} \]

  • We now have a different recurrence relation: \(T(N) = \underbrace{7T(N/2)}_{\text{Multiplications}} + \underbrace{\Theta(N^2)}_{\text{Additions}}\)
  • And it turns out, somewhat miraculously, that the additional time required for the increased number of additions is significantly less than the time savings we obtain by doing 7 instead of 8 multiplications, since this method now runs in \(T(N) = O(N^{\log_2(7)}) \approx O(N^{2.807}) < O(N^3)\) 🤯

Sorting

  • Your first “use case” for both using a data structure and analyzing the complexity of an operation on it!
  • We’ll start with simple approach (insertion sort), then more complicated approach (merge sort)
  • Using complexity analysis, we’ll see how (much like the matrix-multiplication example) simplest isn’t always best D:

Insertion Sort

  • Think of how you might sort a deck of cards in your hand

Cards \(\rightarrow\) List Elements

  • Input list: [5, 2, 4, 6, 1, 3]

  • Notice how, at each point:
    1. There is a card we’re currently “looking at”, called the key, and
    2. There is an invariant: everything in the list before the key is already sorted

Complexity Analysis

  • Let \(t_i\) be the number of times the while loop runs, \(\widetilde{n} = n - 1\):
Code Cost Times Run
1 for i = 1 to n-1: \(c_1\) \(\widetilde{n}\)
2   key = A[i] \(c_2\) \(\widetilde{n}\)
3   # Insert A[i] into sorted subarray A[0:i-1] \(0\) \(\widetilde{n}\)
4   j = i - 1 \(c_4\) \(\widetilde{n}\)
5   while j >= 0 and A[j] > key: \(c_5\) \(\sum_{i=2}^n t_i\)
6     A[j + 1] = A[j] \(c_6\) \(\sum_{i=2}^n(t_i - 1)\)
7     j = j - 1 \(c_7\) \(\sum_{i=2}^n(t_i - 1)\)
8   A[j + 1] = key \(c_8\) \(\widetilde{n}\)

\[ T(n) = c_1\widetilde{n} + c_2\widetilde{n} + c_4\widetilde{n} + c_5\sum_{i=2}^nt_i + c_6\sum_{i=2}^n(t_i - 1) + c_7\sum_{i=2}^n(t_i-1) + c_8\widetilde{n} \]

Simplifying

  • The original, scary-looking equation:

\[ T(n) = c_1n + c_2\widetilde{n} + c_4\widetilde{n} + c_5{\color{orange}\boxed{\color{black}\sum_{i=2}^nt_i}} + c_6{\color{lightblue}\boxed{\color{black}\sum_{i=2}^n(t_i - 1)}} + c_7{\color{lightblue}\boxed{\color{black}\sum_{i=2}^n(t_i-1)}} + c_8\widetilde{n} \]

  • But \(\sum_{i=1}^ni = \frac{n(n+1)}{2}\), so:

\[ \begin{align*} {\color{orange}\boxed{\color{black}\sum_{i=2}^ni}} &= \sum_{i=1}^ni - \sum_{i=1}^1i = \frac{n(n+1)}{2} - 1 \\ {\color{lightblue}\boxed{\color{black}\sum_{i=2}^n(i-1)}} &= \sum_{i=1}^{n-1}i = \frac{(n-1)(n-1+1)}{2} = \frac{n(n-1)}{2} \end{align*} \]

  • And the scary-looking equation simplifies to

\[ \begin{align*} T(n) = &{\color{gray}\left(\frac{c_5}{2} + \frac{c_6}{2} + \frac{c_7}{2}\right)}{\color{green}n^2} + {\color{gray}\left(c_1 + c_2 + c_4 + \frac{c_5}{2} - \frac{c_6}{2} - \frac{c_7}{2} + c_8\right)}{\color{green}n^1} \\ \phantom{T(n) = }& - {\color{gray}(c_2 + c_4 + c_5 + c_8)}{\color{green}n^0} \end{align*} \]

Remember: Asymptotic Analysis!

  • It still looks pretty messy, but remember: we care about efficiency as a function of \(n\)!

\[ \begin{align*} T(n) = &\underbrace{{\color{gray}\left(\frac{c_5}{2} + \frac{c_6}{2} + \frac{c_7}{2}\right)}}_{\text{Constant}}\underbrace{\phantom{(}{\color{green}n^2}\phantom{)}}_{\text{Quadratic}} \\ \phantom{T(n) = }&+ \underbrace{{\color{gray}\left(c_1 + c_2 + c_4 + \frac{c_5}{2} - \frac{c_6}{2} - \frac{c_7}{2} + c_8\right)}}_{\text{Constant}}\underbrace{\phantom{(}{\color{green}n^1}\phantom{)}}_{\text{Linear}} \\ \phantom{T(n) = }& - \underbrace{{\color{gray}(c_2 + c_4 + c_5 + c_8)}}_{\text{Constant}}\underbrace{{\color{green}n^0}}_{\text{Constant}} \end{align*} \]

  • So, there’s a sense in which \(T(n) \approx n^2\), for “sufficiently large” values of \(n\)
  • Let’s work our way towards formalizing the \(\approx\)!

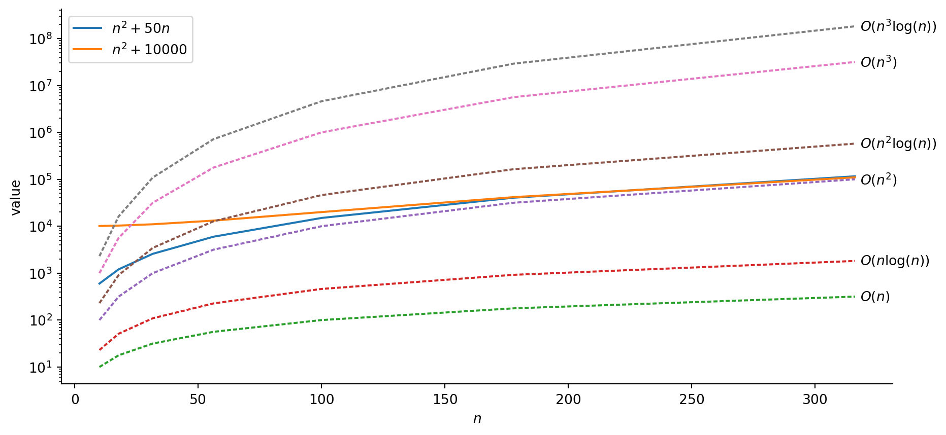
The Figure You Should Make In Your Brain Every Time

Code
import pandas as pd
import numpy as np
import matplotlib.pyplot as plt
import seaborn as sns
n_vals = [np.power(10, k) for k in np.arange(1, 2.75, 0.25)]
runtime_df = pd.DataFrame({'$n$': n_vals})
runtime_df['$n^2 + 50n$'] = runtime_df['$n$'].apply(lambda x: np.power(x, 2) + 50*x)
runtime_df['$n^2 + 10000$'] = runtime_df['$n$'].apply(lambda x: np.power(x, 2) + 10000)
runtime_df['$O(n)$'] = runtime_df['$n$'].copy()
runtime_df['$O(nlogn)$'] = runtime_df['$n$'].apply(lambda x: x * np.log(x))
runtime_df['$O(n^2)$'] = runtime_df['$n$'].apply(lambda x: np.power(x, 2))
runtime_df['$O(n^2logn)$'] = runtime_df['$n$'].apply(lambda x: np.power(x,2) * np.log(x))
runtime_df['$O(n^3)$'] = runtime_df['$n$'].apply(lambda x: np.power(x, 3))
runtime_df['$O(n^3logn)$'] = runtime_df['$n$'].apply(lambda x: np.power(x, 3) * np.log(x))
# Get the max values, for labeling the ends of lines
max_vals = runtime_df.max().to_dict()
plot_df = runtime_df.melt(id_vars=['$n$'])
#print(plot_df)
style_map = {col: '' if (col == '$n^2 + 50n$') or (col == '$n^2 + 10000$') else (2,1) for col in runtime_df.columns}
fig, ax = plt.subplots(figsize=(11,5))
sns.lineplot(plot_df, x='$n$', y='value', hue='variable', style='variable', dashes=style_map)
#plt.xscale('log')
plt.yscale('log')
# extract the existing handles and labels
h, l = ax.get_legend_handles_labels()
# slice the appropriate section of l and h to include in the legend
ax.legend(h[0:2], l[0:2])
for label, val in max_vals.items():
  if (label == '$n$') or (label == '$n^2 + 50n$') or (label == '$n^2 + 10000$'):
    continue
  if 'logn' in label:
    label = label.replace('logn', r'\log(n)')
  ax.text(x = max_vals['$n$'] + 2, y = val, s=label, va='center')
# Hide the right and top spines
ax.spines[['right', 'top']].set_visible(False)
plt.show()

  • Takeaway: As \(n \rightarrow \infty\), highest-degree terms dominate!

Constants On Highest-Degree Terms Also Go Away

  • (Though this is harder to see, without a log-log plot:)
Code
n_vals = [np.power(10, k) for k in np.arange(1, 6, 0.5)]
rt_const_df = pd.DataFrame({'$n$': n_vals})
rt_const_df['$20n^2$'] = rt_const_df['$n$'].apply(lambda x: 20*np.power(x,2))
rt_const_df['$n^2$'] = rt_const_df['$n$'].apply(lambda x: np.power(x,2))
rt_const_df['$n^2logn$'] = rt_const_df['$n$'].apply(lambda x: np.power(x,2) * np.power(np.log(x),2))
rt_const_df['$n^3$'] = rt_const_df['$n$'].apply(lambda x: np.power(x,3))
# Get the max values, for labeling the ends of lines
max_vals = rt_const_df.max().to_dict()
plot_df_const = rt_const_df.melt(id_vars=['$n$'])
style_map = {col: '' if (col == '$20n^2$') else (2,1) for col in rt_const_df.columns}
fig_const, ax_const = plt.subplots(figsize=(11,5))
sns.lineplot(plot_df_const, x='$n$', y='value', hue='variable', style='variable', dashes=style_map)
plt.xscale('log')
plt.yscale('log')
# extract the existing handles and labels
h_const, l_const = ax_const.get_legend_handles_labels()
# slice the appropriate section of l and h to include in the legend
ax_const.legend(h_const[0:1], l_const[0:1])
for label, val in max_vals.items():
  if (label == '$n$') or (label == '$20n^2$'):
    continue
  if 'logn' in label:
    label = label.replace('logn', r'\log(n)')
  ax_const.text(x = max_vals['$n$'] + 10**4, y = val, s=label, va='center')
# Hide the right and top spines
ax_const.spines[['right', 'top']].set_visible(False)
plt.show()

Formalizing Big-O Notation

  • Let \(f, g: \mathbb{N} \rightarrow \mathbb{N}\). Then we write \(f(n) = O(g(n))\) when there exists a threshold \(n_0 > 0\) and a constant \(K > 0\) such that \[ \forall n \geq n_0 \left[ f(n) \leq K\cdot g(n) \right] \]
  • In words: beyond a certain point \(n_0\), \(f(n)\) is bounded above by \(K\cdot g(n)\).
  • Definition from Savage (1998, pg. 13)

Intuition \(\rightarrow\) Proof

  • Using this definition, we can now prove \(f(n) = n^2 + 50n = O(n^2)\)!
  • Here \(f(n) = n^2 + 50n\), \(g(n) = n^2\)
  • Theorem: \(\exists \; n_0 \; \text{ s.t. } \forall n \geq n_0 \left[ n^2 + 50n \leq Kn^2 \right]\)
  • Proof: Let \(K = 50\). Then \[ \begin{align*} &n^2 + 50n \leq 50n^2 \iff n + 50 \leq 50n \\ &\iff 49n \geq 50 \iff n \geq \frac{50}{49}. \end{align*} \]
  • So if we choose \(n_0 = 2\), the chain of statements holds. \(\blacksquare\)

Bounding Insertion Sort Runtime

  • Runs in \(T(n) = O(n^2)\) (use constants from prev slide)
  • Can similarly define lower bound \(T(n) = \Omega(f(n))\)
    • \(O\) = “Big-Oh”, \(\Omega\) = “Big-Omega”
  • Need to be careful with \(O(f(n))\) vs. \(\Omega(f(n))\) however: difference between “for all inputs” vs. “for some inputs”:
Bounding Worst-Case Runtime

By saying that the worst-case running time of an algorithm is \(\Omega(n^2)\), we mean that for every input size \(n\) above a certain threshold, there is at least one input of size \(n\) for which the algorithm takes at least \(cn^2\) time, for some positive constant \(n\). It does not necessarily mean that the algorithm takes at least \(cn^2\) time for all inputs.

Intuition for Lower Bound

  • Spoiler: Insertion sort also runs in \(T(n) = \Omega(n^2)\) time. How could we prove this?
  • Given any value \(n > n_0\), we need to construct an input for which Insertion-Sort requires \(cn^2\) steps: consider a list where \(n/3\) greatest values are in first \(n/3\) slots:

All \(n/3\) values in \(\textrm{L}\) pass, one-by-one, through the \(n/3\) slots in \(\textrm{M}\) (since they must end up in \(\textrm{R}\)) \(\implies (n/3)(n/3) = n^2/9 = \Omega(n^2)\) steps!
  • Final definition (a theorem you could prove if you want!): \(\Theta\) = “Big-Theta”
    • If \(T(n) = \overline{O}(g(n))\) and \(T(n) = \Omega(g(n))\), then \(T(n) = \Theta(n)\)
  • \(\implies\) most “informative” way to characterize insertion sort is \(\boxed{T(n) = \Theta(n^2)}\)

Doing Better Than Insertion Sort

How Can Merge Sort Work That Much Better!?

  • With the linear approach, each time we check a word and it’s not our word we eliminate… one measly word 😞
  • But with the divide-and-conquer approach… we eliminate 🔥HALF OF THE REMAINING WORDS🔥

Merging Two Sorted Lists in \(O(n)\) Time

From Cormen et al. (2001), pg. 37

Merge Sort (Merging as Subroutine)

From Cormen et al. (2001), pg. 40

Complexity Analysis

  • Hard way: re-do the line-by-line analysis we did for Insertion-Sort 😣 Easy way: stand on shoulders of giants!
  • Using a famous+fun theorem (the Master Theorem): Given a recurrence \(T(n) = aT(n/b) + f(n)\), compute its:
    • Watershed function \(W(n) = n^{\log_b(a)}\) and
    • Driving function \(D(n) = f(n)\)
  • The Master Theorem gives closed-form asymptotic solution for \(T(n)\), split into three cases:
  • (1) \(W(n)\) grows faster than \(D(n)\), (2) grows at same rate as \(D(n)\), or (3) grows slower than \(D(n)\)

Bounding the Runtime of Merge Sort

  • How about Merge-Sort? \(T(n) = 2T(n/2) + \Theta(n)\)
    • \(a = b = 2\), \(W(n) = n^{\log_2(2)} = n\), \(D(n) = \Theta(n)\)
  • \(W(n)\) and \(D(n)\) grow at same rate \(\implies\) Case 21:
Applying the Master Theorem When \(W(n) = \Theta(D(n))\) (Case 2)
  1. Is there a \(k \geq 0\) satisfying \(D(n) = \Theta(n^{\log_b(a)}\log_2^k(n))\)?
  2. If so, your solution is \(T(n) = \Theta(n^{\log_b(a)}\log_2^{k+1}(n))\)
  • Merge-Sort: \(k = 0\) works! \(\Theta(n^{\log_2(2)}\log_2^0(n)) = \Theta(n)\)
  • Thus \(T(n) = \Theta(n^{\log_b(a)}\log_2^{k+1}(n)) = \boxed{\Theta(n\log_2n)}\) 😎

Object-Oriented Programming

Breaking a Problem into (Interacting) Parts

  • Python so far: “Data science mode”
    • Start at top of file with raw data
    • Write lines of code until problem solved
  • Python in this class: “Software engineering mode”
    • Break system down into parts
    • Write each part separately
    • Link parts together to create the whole
  • (One implication: .py files may be easier than .ipynb for development!)

How Does A Calculator Work?

(Calculator image from Wikimedia Commons)

Key OOP Feature #1: Encapsulation

  • Imagine you’re on a team trying to make a calculator
  • One person can write the Screen class, another person can write the Button class, and so on
  • Natural division of labor! (May seem silly for a calculator, but imagine as your app scales up)

Use Case: Bookstore Inventory Management

In Pictures

G Bookstore Relational Diagram Bookstore Bookstore Name Location Booklist Get_Inventory() Sort_Inventory() Place Place City State Country Print_Map() Bookstore:loc->Place:placehead Has One Book Book Title Authors Num Pages Preview() Bookstore:bl->Book:bookhead Has Multiple Person Person Family Name Given Name Book:auths->Person:personhead Has Multiple

Creating Classes

  • Use case: Creating an inventory system for a Bookstore
Code
class Bookstore:
    def __init__(self, name, location):
        self.name = name
        self.location = location
        self.books = []

    def __getitem__(self, index):
        return self.books[index]

    def __repr__(self):
        return self.__str__()

    def __str__(self):
        return f"Bookstore[{self.get_num_books()} books]"

    def add_books(self, book_list):
        self.books.extend(book_list)

    def get_books(self):
        return self.books

    def get_inventory(self):
        book_lines = []
        for book_index, book in enumerate(self.get_books()):
            cur_book_line = f"{book_index}. {str(book)}"
            book_lines.append(cur_book_line)
        return "\n".join(book_lines)

    def get_num_books(self):
        return len(self.get_books())

    def sort_books(self, sort_key):
        self.books.sort(key=sort_key)

class Book:
    def __init__(self, title, authors, num_pages):
        self.title = title
        self.authors = authors
        self.num_pages = num_pages

    def __str__(self):
        return f"Book[title={self.get_title()}, authors={self.get_authors()}, pages={self.get_num_pages()}]"

    def get_authors(self):
        return self.authors

    def get_first_author(self):
        return self.authors[0]

    def get_num_pages(self):
        return self.num_pages

    def get_title(self):
        return self.title

class Person:
    def __init__(self, family_name, given_name):
        self.family_name = family_name
        self.given_name = given_name

    def __repr__(self):
        return self.__str__()

    def __str__(self):
        return f"Person[{self.get_family_name()}, {self.get_given_name()}]"

    def get_family_name(self):
        return self.family_name

    def get_given_name(self):
        return self.given_name
Code
my_bookstore = Bookstore("Bookland", "Washington, DC")
plath = Person("Plath", "Sylvia")
bell_jar = Book("The Bell Jar", [plath], 244)
marx = Person("Marx", "Karl")
engels = Person("Engels", "Friedrich")
manifesto = Book("The Communist Manifesto", [marx, engels], 43)
elster = Person("Elster", "Jon")
cement = Book("The Cement of Society", [elster], 311)
my_bookstore.add_books([bell_jar, manifesto, cement])
print(my_bookstore)
print(my_bookstore[0])
print("Inventory:")
print(my_bookstore.get_inventory())
Bookstore[3 books]
Book[title=The Bell Jar, authors=[Person[Plath, Sylvia]], pages=244]
Inventory:
0. Book[title=The Bell Jar, authors=[Person[Plath, Sylvia]], pages=244]
1. Book[title=The Communist Manifesto, authors=[Person[Marx, Karl], Person[Engels, Friedrich]], pages=43]
2. Book[title=The Cement of Society, authors=[Person[Elster, Jon]], pages=311]

Doing Things With Classes

  • Now we can use our OOP structure, for example to sort the inventory in different ways!
Alphabetical (By First Author)
Code
sort_alpha = lambda x: x.get_first_author().get_family_name()
my_bookstore.sort_books(sort_key = sort_alpha)
print(my_bookstore.get_inventory())
0. Book[title=The Cement of Society, authors=[Person[Elster, Jon]], pages=311]
1. Book[title=The Communist Manifesto, authors=[Person[Marx, Karl], Person[Engels, Friedrich]], pages=43]
2. Book[title=The Bell Jar, authors=[Person[Plath, Sylvia]], pages=244]
By Page Count
Code
sort_pages = lambda x: x.get_num_pages()
my_bookstore.sort_books(sort_key = sort_pages)
print(my_bookstore.get_inventory())
0. Book[title=The Communist Manifesto, authors=[Person[Marx, Karl], Person[Engels, Friedrich]], pages=43]
1. Book[title=The Bell Jar, authors=[Person[Plath, Sylvia]], pages=244]
2. Book[title=The Cement of Society, authors=[Person[Elster, Jon]], pages=311]

Key OOP Feature #2: Polymorphism

  • Encapsulate general properties in parent class, specific properties in child classes

(You can edit this or make your own UML diagrams in nomnoml!)

Or… Is This Better?

Edit in nomnoml

Design Choices

  • The goal is to encapsulate as best as possible: which objects should have which properties, and which methods?
  • Example: Fiction vs. Non-Fiction. How important is this distinction for your use case?
Option 1: As Property of Book
Code
from enum import Enum
class BookType(Enum):
    NONFICTION = 0
    FICTION = 1

class Book:
    def __init__(self, title: str, authors: list[Person], num_pages: int, type: BookType):
        self.title = title
        self.authors = authors
        self.num_pages = num_pages
        self.type = type

    def __str__(self):
        return f"Book[title={self.title}, authors={self.authors}, pages={self.num_pages}, type={self.type}]"
Code
joyce = Person("Joyce", "James")
ulysses = Book("Ulysses", [joyce], 732, BookType.FICTION)
schelling = Person("Schelling", "Thomas")
micromotives = Book("Micromotives and Macrobehavior", [schelling], 252, BookType.NONFICTION)
print(ulysses)
print(micromotives)
Book[title=Ulysses, authors=[Person[Joyce, James]], pages=732, type=BookType.FICTION]
Book[title=Micromotives and Macrobehavior, authors=[Person[Schelling, Thomas]], pages=252, type=BookType.NONFICTION]
Option 2: Separate Classes
Code
# class Book defined as earlier
class FictionBook(Book):
    def __init__(self, title, authors, num_pages, characters):
        super().__init__(title, authors, num_pages)
        self.characters = characters

class NonfictionBook(Book):
    def __init__(self, title, authors, num_pages, topic):
        super().__init__(title, authors, num_pages)
        self.topic = topic
Code
joyce = Person("Joyce", "James")
ulysses = FictionBook("Ulysses", [joyce], 732, ["Daedalus"])
schelling = Person("Schelling", "Thomas")
micromotives = NonfictionBook("Micromotives and Macrobehavior", [schelling], 252, "Economics")
print(ulysses)
print(micromotives)
Book[title=Ulysses, authors=[Person[Joyce, James]], pages=732]
Book[title=Micromotives and Macrobehavior, authors=[Person[Schelling, Thomas]], pages=252]

HW1: Python Fundamentals

References

Cormen, Thomas H., Charles E. Leiserson, Ronald L. Rivest, and Clifford Stein. 2001. Introduction To Algorithms. MIT Press.
Savage, John E. 1998. Models of Computation: Exploring the Power of Computing. Addison-Wesley.

Appendix: The Full Master Theorem

Master Theorem: Let \(a > 0\) and \(b > 1\) be constants, and let \(f(n)\) be a driving function defined and nonnegative on all sufficiently large reals. Define \(T(n)\) on \(n \in \mathbb{N}\) by

\[ T(n) = aT(n/b) + f(n) \]

where \(aT(n/b) = a'T(\lfloor n/b \rfloor) + a''T(\lceil n/b \rceil)\) for some \(a' \geq 0\) and \(a'' \geq 0\) satisfying \(a = a' + a''\). Then the asymptotic behavior of \(T(n)\) can be characterized as follows:

  1. If there exists \(\epsilon > 0\) such that \(f(n) = O(n^{\log_b(a) - \epsilon})\), then \(T(n) = \Theta(n^{\log_b(a)})\)
  2. If there exists \(k \geq 0\) such that \(f(n) = \Theta(n^{\log_b(a)}\log_2^k(n))\), then \(T(n) = \Theta(n^{\log_b(a)}\log_2^{k+1}(n))\).
  3. If there exists \(\epsilon > 0\) such that \(f(n) = \Omega(n^{\log_b(a) + \epsilon})\), and if \(f(n)\) satisfies the regularity condition \(af(n/b) \leq cf(n)\) for some constant \(c < 1\) and all sufficiently large \(n\), then \(T(n) = \Theta(f(n))\).

Proof. See Cormen et al. (2001), pg. 107-114.

(← Back to Merge Sort slides)

Footnotes

  1. See appendix slide for all 3 cases, if you’re some kind of masochist↩︎