(38.9076, -77.0723)
DSAN 5500: Data Structures, Objects, and Algorithms in Python
Thursday, January 23, 2025
Today’s Planned Schedule:
| Start | End | Topic | |
|---|---|---|---|
| Lecture | 6:30pm | 6:40pm | TA Intros! |
| 6:40pm | 7:00pm | Python’s Built-In Data Structures → | |
| 7:00pm | 7:30pm | Big-O Notation and Complexity Classes | |
| 7:30pm | 8:00pm | Formal Complexity Analysis: Insertion-Sort → | |
| Break! | 8:00pm | 8:10pm | |
| 8:10pm | 8:30pm | Formal Complexity Analysis: Merge-Sort → | |
| 8:30pm | 9:00pm | Object-Oriented Programming → |
jrd154@georgetown.edujl3081@georgetown.eduboolintfloatNoneFixed-size collection of \(N\) objects
Unless otherwise specified, we’re talking about \(2\)-tuples
Example: We can locate something on the Earth by specifying two floats: latitude and longitude!
But what if we don’t know in advance how many items we want to store? Ex: how can we store users for a new app?
x = ['a','b','c']
x[0] = 'a'x[1] = 'b'x[2] = 'c'listConstruct new list by applying operation to each element:
Can also filter the elements of the list with if:
Efficient for finding unique elements:
prefs_morn = [
'None','None','None','Vegan','Vegan','None',
'Gluten Free'
]
print(f"Number of responses: {len(prefs_morn)}")Number of responses: 7
unique_prefs_morn = set(prefs_morn)
print(f"Unique preferences: {unique_prefs_morn}")
print(f"Number of unique preferences: {len(unique_prefs_morn)}")Unique preferences: {'None', 'Vegan', 'Gluten Free'}
Number of unique preferences: 3
Ordering / indexing of elements is gone!
--------------------------------------------------------------------------- TypeError Traceback (most recent call last) Cell In[7], line 1 ----> 1 unique_prefs_morn[2] TypeError: 'set' object is not subscriptable
But, supports set operators from math! →
Union (\(M \cup E\)):
prefs_eve = [
'None','None','Vegan','None','None'
]
unique_prefs_eve = set(prefs_eve)
unique_prefs_either = unique_prefs_morn.union(unique_prefs_eve)
print(f"Preferences in either event: {unique_prefs_either}")Preferences in either event: {'Vegan', 'None', 'Gluten Free'}
Intersection (\(M \cap E\)):
unique_prefs_both = unique_prefs_morn.intersection(unique_prefs_eve)
print(f"Preferences in both events: {unique_prefs_both}")Preferences in both events: {'None', 'Vegan'}
Set Difference (\(M \setminus E\) or \(E \setminus M\)):
unique_prefs_mornonly = unique_prefs_morn - unique_prefs_eve
print(f"Preferences only in the morning: {unique_prefs_mornonly}")
unique_prefs_eveonly = unique_prefs_eve - unique_prefs_morn
print(f"Preferences only in the evening: {unique_prefs_eveonly}")Preferences only in the morning: {'Gluten Free'}
Preferences only in the evening: set()
While other language like Java have lots of fancy types of Map, Python has a single type, the dictionary:
dict_keys(['name', 'founded', 'coordinates', 'location'])
dict_values(['Georgetown University', 1789, (38.9076, -77.0723), {'city': 'Washington', 'state': 'DC', 'country': 'USA'}])
Be careful when looping! Default behavior is iteration over keys:
For key-value pairs use .items():
Last week: analyzing complexity of an algorithm (no broader context): Insertion-Sort
This week: analyzing complexity of a structure as a collection of variables + algorithms
Example: tuple
N, pre-allocated list with N slotsOOP: Design pattern for “organizing” data and algorithms into structures
class MyNTuple():
def __init__(self, N, item_list):
if len(item_list) != N:
raise Exception("Must have exactly N elements")
self.N = N
self.contents = item_list
def item_at_index(self, i):
return self.contents[i]
jeffs_location = MyNTuple(2, [-40, 40])
print(jeffs_location.item_at_index(0))
print(f"{jeffs_location} 🧐")-40
<__main__.MyNTuple object at 0x164f757d0> 🧐
The list itself just points to a root item:
An item has contents, pointer to next item:
class MyListItem:
def __init__(self, content):
self.content = content
self.next = None
def append(self, new_item):
if self.next is None:
self.next = MyListItem(new_item)
else:
self.next.append(new_item)
def __repr__(self):
my_content = self.content
return my_content if self.next is None else f"{my_content}, {self.next.__repr__()}"MyTuple?MyTuple?MyList?MyList?With a MyList:
\(\implies\) 1 step
Bo
\(\implies\) (3 steps)
…But why 3? How many steps if the list contained 5 elements? \(N\) elements?
Now rather than just printing, let’s pairwise concatenate:
JeffJeff
JeffAlma
JeffBo
AlmaJeff
AlmaAlma
AlmaBo
BoJeff
BoAlma
BoBo
How many steps did this take? How about for a list with \(5\) elements? \(N\) elements?
printed_items = []
cur_pointer1 = users.root
while cur_pointer1 is not None:
cur_pointer2 = users.root
while cur_pointer2 is not None:
print(cur_pointer1.content + cur_pointer2.content)
printed_items.append(cur_pointer1.content)
printed_items.append(cur_pointer2.content)
cur_pointer2 = cur_pointer2.next
cur_pointer1 = cur_pointer1.next
check_pointer = users.root
while check_pointer is not None:
if check_pointer.content in printed_items:
print(f"Phew. {check_pointer.content} printed at least once.")
else:
print(f"Oh no! {check_pointer.content} was never printed!!!")
check_pointer = check_pointer.nextJeffJeff
JeffAlma
JeffBo
AlmaJeff
AlmaAlma
AlmaBo
BoJeff
BoAlma
BoBo
Phew. Jeff printed at least once.
Phew. Alma printed at least once.
Phew. Bo printed at least once.
| Code | Cost | Times Run | |
|---|---|---|---|
| 1 | for i = 1 to n-1: |
\(c_1\) | \(\widetilde{n}\) |
| 2 | key = A[i] |
\(c_2\) | \(\widetilde{n}\) |
| 3 | # Insert A[i] into sorted subarray A[0:i-1] |
\(0\) | \(\widetilde{n}\) |
| 4 | j = i - 1 |
\(c_4\) | \(\widetilde{n}\) |
| 5 | while j >= 0 and A[j] > key: |
\(c_5\) | \(\sum_{i=2}^n t_i\) |
| 6 | A[j + 1] = A[j] |
\(c_6\) | \(\sum_{i=2}^n(t_i - 1)\) |
| 7 | j = j - 1 |
\(c_7\) | \(\sum_{i=2}^n(t_i - 1)\) |
| 8 | A[j + 1] = key |
\(c_8\) | \(\widetilde{n}\) |
\[ T(n) = c_1\widetilde{n} + c_2\widetilde{n} + c_4\widetilde{n} + c_5\sum_{i=2}^nt_i + c_6\sum_{i=2}^n(t_i - 1) + c_7\sum_{i=2}^n(t_i-1) + c_8\widetilde{n} \]
\[ T(n) = c_1n + c_2\widetilde{n} + c_4\widetilde{n} + c_5{\color{orange}\boxed{\color{black}\sum_{i=2}^nt_i}} + c_6{\color{lightblue}\boxed{\color{black}\sum_{i=2}^n(t_i - 1)}} + c_7{\color{lightblue}\boxed{\color{black}\sum_{i=2}^n(t_i-1)}} + c_8\widetilde{n} \]
\[ \begin{align*} {\color{orange}\boxed{\color{black}\sum_{i=2}^ni}} &= \sum_{i=1}^ni - \sum_{i=1}^1i = \frac{n(n+1)}{2} - 1 \\ {\color{lightblue}\boxed{\color{black}\sum_{i=2}^n(i-1)}} &= \sum_{i=1}^{n-1}i = \frac{(n-1)(n-1+1)}{2} = \frac{n(n-1)}{2} \end{align*} \]
\[ \begin{align*} T(n) = &{\color{gray}\left(\frac{c_5}{2} + \frac{c_6}{2} + \frac{c_7}{2}\right)}{\color{green}n^2} + {\color{gray}\left(c_1 + c_2 + c_4 + \frac{c_5}{2} - \frac{c_6}{2} - \frac{c_7}{2} + c_8\right)}{\color{green}n^1} \\ \phantom{T(n) = }& - {\color{gray}(c_2 + c_4 + c_5 + c_8)}{\color{green}n^0} \end{align*} \]
\[ \begin{align*} T(n) = &\underbrace{{\color{gray}\left(\frac{c_5}{2} + \frac{c_6}{2} + \frac{c_7}{2}\right)}}_{\text{Constant}}\underbrace{\phantom{(}{\color{green}n^2}\phantom{)}}_{\text{Quadratic}} \\ \phantom{T(n) = }&+ \underbrace{{\color{gray}\left(c_1 + c_2 + c_4 + \frac{c_5}{2} - \frac{c_6}{2} - \frac{c_7}{2} + c_8\right)}}_{\text{Constant}}\underbrace{\phantom{(}{\color{green}n^1}\phantom{)}}_{\text{Linear}} \\ \phantom{T(n) = }& - \underbrace{{\color{gray}(c_2 + c_4 + c_5 + c_8)}}_{\text{Constant}}\underbrace{{\color{green}n^0}}_{\text{Constant}} \end{align*} \]
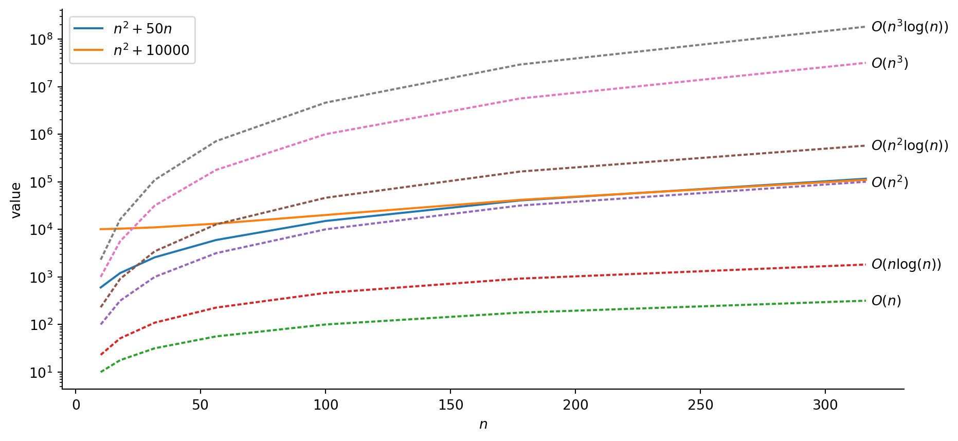
import pandas as pd
import numpy as np
import matplotlib.pyplot as plt
import seaborn as sns
n_vals = [np.power(10, k) for k in np.arange(1, 2.75, 0.25)]
runtime_df = pd.DataFrame({'$n$': n_vals})
runtime_df['$n^2 + 50n$'] = runtime_df['$n$'].apply(lambda x: np.power(x, 2) + 50*x)
runtime_df['$n^2 + 10000$'] = runtime_df['$n$'].apply(lambda x: np.power(x, 2) + 10000)
runtime_df['$O(n)$'] = runtime_df['$n$'].copy()
runtime_df['$O(nlogn)$'] = runtime_df['$n$'].apply(lambda x: x * np.log(x))
runtime_df['$O(n^2)$'] = runtime_df['$n$'].apply(lambda x: np.power(x, 2))
runtime_df['$O(n^2logn)$'] = runtime_df['$n$'].apply(lambda x: np.power(x,2) * np.log(x))
runtime_df['$O(n^3)$'] = runtime_df['$n$'].apply(lambda x: np.power(x, 3))
runtime_df['$O(n^3logn)$'] = runtime_df['$n$'].apply(lambda x: np.power(x, 3) * np.log(x))
# Get the max values, for labeling the ends of lines
max_vals = runtime_df.max().to_dict()
plot_df = runtime_df.melt(id_vars=['$n$'])
#print(plot_df)
style_map = {col: '' if (col == '$n^2 + 50n$') or (col == '$n^2 + 10000$') else (2,1) for col in runtime_df.columns}
fig, ax = plt.subplots(figsize=(11,5))
sns.lineplot(plot_df, x='$n$', y='value', hue='variable', style='variable', dashes=style_map)
#plt.xscale('log')
plt.yscale('log')
# extract the existing handles and labels
h, l = ax.get_legend_handles_labels()
# slice the appropriate section of l and h to include in the legend
ax.legend(h[0:2], l[0:2])
for label, val in max_vals.items():
if (label == '$n$') or (label == '$n^2 + 50n$') or (label == '$n^2 + 10000$'):
continue
if 'logn' in label:
label = label.replace('logn', r'\log(n)')
ax.text(x = max_vals['$n$'] + 2, y = val, s=label, va='center')
# Hide the right and top spines
ax.spines[['right', 'top']].set_visible(False)
plt.show()
n_vals = [np.power(10, k) for k in np.arange(1, 6, 0.5)]
rt_const_df = pd.DataFrame({'$n$': n_vals})
rt_const_df['$20n^2$'] = rt_const_df['$n$'].apply(lambda x: 20*np.power(x,2))
rt_const_df['$n^2$'] = rt_const_df['$n$'].apply(lambda x: np.power(x,2))
rt_const_df['$n^2logn$'] = rt_const_df['$n$'].apply(lambda x: np.power(x,2) * np.power(np.log(x),2))
rt_const_df['$n^3$'] = rt_const_df['$n$'].apply(lambda x: np.power(x,3))
# Get the max values, for labeling the ends of lines
max_vals = rt_const_df.max().to_dict()
plot_df_const = rt_const_df.melt(id_vars=['$n$'])
style_map = {col: '' if (col == '$20n^2$') else (2,1) for col in rt_const_df.columns}
fig_const, ax_const = plt.subplots(figsize=(11,5))
sns.lineplot(plot_df_const, x='$n$', y='value', hue='variable', style='variable', dashes=style_map)
plt.xscale('log')
plt.yscale('log')
# extract the existing handles and labels
h_const, l_const = ax_const.get_legend_handles_labels()
# slice the appropriate section of l and h to include in the legend
ax_const.legend(h_const[0:1], l_const[0:1])
for label, val in max_vals.items():
if (label == '$n$') or (label == '$20n^2$'):
continue
if 'logn' in label:
label = label.replace('logn', r'\log(n)')
ax_const.text(x = max_vals['$n$'] + 10**4, y = val, s=label, va='center')
# Hide the right and top spines
ax_const.spines[['right', 'top']].set_visible(False)
plt.show()
Let \(f, g: \mathbb{N} \rightarrow \mathbb{N}\). Then we write \(f(n) = \overline{O}(g(n))\) when there exists a threshold \(n_0 > 0\) and constant \(K > 0\) s.t. \[ \forall n \geq n_0 \left[ f(n) \leq K\cdot g(n) \right] \]
In words:
Definition from Savage (1998, pg. 13)


From Cormen et al. (2001), pg. 37
From Cormen et al. (2001), pg. 40
How about Merge-Sort? \(T(n) = 2T(n/2) + \Theta(n)\)
\(W(n)\) and \(D(n)\) grow at same rate \(\implies\) Case 2:
Applying the Master Theorem When \(W(n) = \Theta(D(n))\) (Case 2)
Merge-Sort: \(k = 0\) works! \(\Theta(n^{\log_2(2)}\log_2^0(n)) = \Theta(n)\)
Thus \(T(n) = \Theta(n^{\log_b(a)}\log_2^{k+1}(n)) = \boxed{\Theta(n\log_2n)}\) 😎
All \(n/3\) values in \(\textrm{L}\) pass, one-by-one, through the \(n/3\) slots in \(\textrm{M}\) (since they must end up in \(\textrm{R}\)) \(\implies (n/3)(n/3) = n^2/9 = \Omega(n^2)\) steps!
Need to be careful with \(O(f(n))\) vs. \(\Omega(f(n))\) however: difference between “for all inputs” vs. “for some inputs”:
Bounding Worst-Case Runtime
By saying that the worst-case running time of an algorithm is \(\Omega(n^2)\), we mean that for every input size \(n\) above a certain threshold, there is at least one input of size \(n\) for which the algorithm takes at least \(cn^2\) time, for some positive constant \(n\). It does not necessarily mean that the algorithm takes at least \(cn^2\) time for all inputs.
Master Theorem: Let \(a > 0\) and \(b > 1\) be constants, and let \(f(n)\) be a driving function defined and nonnegative on all sufficiently large reals. Define \(T(n)\) on \(n \in \mathbb{N}\) by
\[ T(n) = aT(n/b) + f(n) \]
where \(aT(n/b) = a'T(\lfloor n/b \rfloor) + a''T(\lceil n/b \rceil)\) for some \(a' \geq 0\) and \(a'' \geq 0\) satisfying \(a = a' + a''\). Then the asymptotic behavior of \(T(n)\) can be characterized as follows:
Proof. See Cormen et al. (2001), pg. 107-114.
DSAN 5500 Week 3: Data Structures and Computational Complexity